Artemis II: Day Two
Onwards to the Moon, and looking back at the Earth
The crew of Artemis II have now departed for the Moon, after spending a day in Earth orbit checking out their spacecraft. Their trajectory is accurate enough that a planned mid-course correction has been cancelled.. It is now a matter of Newtonian certainty that Integrity will travel to the Moon and return to Earth. The main navigation task now is ensuring the capsule hits the correct entry interface on return to Earth.
Today I’ll be summarising some mission events, and discussing the details of trans-lunar injection (TLI). If you haven’t already, please consider subscribing so that we can follow along with this mission together.
I had been planning to discuss some of the activities on board today, but one particular moment stood out - shortly after the TLI burn, Commander Reid Wiseman took this photograph of the Earth
We had of course expected such photos to come from this mission, having all seen the famous “Blue Marble” taken on Apollo 17. But I was surprised what a striking image this is. It is actually the night side of Earth, illuminated by the full Moon (a giveaway for this is the city lights which can be seen across Spain and North Africa, in the bottom left). The brightness of the Earth is achieved by a longer camera exposure, not post-processing.
Both the northern and southern aurora can be seen in this photo, marking the magnetic poles of the planet. On the lower right there is bright zodiacal light from the limb of the Earth nearest to the Sun (which is behind the Earth here). The exposure also allows stars to be seen. The planet Venus is also clearly visible. There is a good chance this is the most memorable image of the mission.
There isn’t much for the crew to do before they reach the Moon in terms of direct mission objectives; so en route they will continue to test the spacecraft and its life support systems. Today then, I’m going to go into some slightly technical details of exactly how they got to the Moon.
The Orbital Battery
Travelling to the Moon is a matter of energy. The spacecraft is moving at a certain speed in an Earth orbit, and then accelerates, and is now on a more elongated and thus higher energy orbit passing through the same point - an orbit large enough to reach the Moon.
The chemical energy of the rocket propellant is the source of this orbital energy. But you don’t necessarily want to use it all at once. On this mission, and on the Apollo missions, it is considered wise to spend a short time in Earth orbit to check that the spacecraft is working correctly before committing to a lunar journey. The downside of this is, because both Apollo and Artemis missions use deeply cryogenic propellants on their upper stages, they lose some to boil off whilst waiting for the TLI burn.
During the Apollo 8 mission, the combined Apollo CSM and S-IVB upper stage (no lunar module was carried) spent 2 hours 44 minutes[1] in Earth orbit before departure. During this time, the liquid oxygen supply reduced by 110 kilograms, which was only a negligible fraction of the remaining supply. But the more volatile liquid hydrogen supply reduced by 1,050 kilograms - and this was almost 10% of what remained, due to the fact that this combination has an oxidiser-to-fuel ratio of almost 5 . These materials were not simply dumped overboard as they boiled; they were vented rearward to create a small thrust which kept the propellants settled in the back of the tanks.
Orion is a vehicle with fewer test flights than Apollo, and being launched by an agency that is more cautious, so they want to spend longer in Earth orbit before departure. Managing the cryogenic propellants with minimal boil-off over 24 hours would be tricky and is not something the ICPS is capable of. So in this instance, they have opted to consume the chemical energy of the propellants soon after launch, and store the energy in another form - orbital energy. By sending Integrity into a highly elliptical orbit around Earth, which has most of the energy needed for TLI but still remains close to the planet for a quick return if needed, the Artemis II mission planners were able to use this orbit to “store” energy for later use.
The Oberth Effect
When it was time for the Orion capsule to complete lunar injection, the manoeuvre was performed at the lowest point of the orbit, approximately 185km. This is considered a very low orbital altitude - the ISS orbits at above 400km for comparison. It had just come down from an apogee of 70,000km, almost twice the altitude of geostationary satellites.
This has an advantage that is not intuitively obvious; I’ll try to explain it here without too much maths.
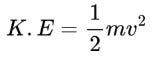
The equation for kinetic energy is
if we move the mass term m to the right side, so we are talking about energy per unit mass (sometimes called specific energy) we end up with the equation for the area of a triangle with base v and height v. The area of that triangle is the energy:
Rocket engines add a velocity to the spacecraft we call Δv. What does the triangle look like if we add that velocity increment? Here is the case for two different starting velocities:
The light blue triangle is what you might naively think is the added energy if you hadn’t seen this plot - its how much energy would be added if starting from zero velocity. But there is also a ‘bonus’ energy, in the dark blue rectangle. The critical thing is that the same velocity increment yields more energy if applied to a larger starting velocity.
I haven’t accounted here for potential energy; but that doesn’t change the overall picture. During an elliptical orbit, there is a constant exchange between gravitational potential energy, just as there is with a pendulum. At the highest point, the balance is maximally towards potential energy and the velocity is slowest, and the lowest point with the least potential energy the velocity is highest. Thus, for a TLI burn like the one Artemis II performed, being at the low point of an elongated orbit maximises the velocity, and thus maximises how much overall energy the same rocket burn can add.
Tomorrow, with the crew safely underway, I will discuss more about how this mission fits into the broader Artemis plan. If you haven’t already, please consider subscribing to follow along with the mission.
[1] All figures here for the Apollo mission are from “Apollo by the Numbers” by Richard Orloff





